Побочные эффекты и мониторинг терапии
При применении антикоагулянтов и антиагрегантов возможны различные побочные эффекты, которые требуют особого внимания и мониторинга со стороны врача.
Основные побочные эффекты антикоагулянтов:
- Кровотечения. При употреблении антикоагулянтов может возникнуть риск кровотечения, как внутреннего, так и внешнего характера.
- Тромбоцитопения. В редких случаях антикоагулянты могут вызвать тромбоцитопению, что приводит к уменьшению числа тромбоцитов в крови и повышает риск кровотечений.
- Противопоказания и взаимодействия с другими препаратами. У некоторых пациентов могут быть противопоказания к применению антикоагулянтов. Кроме того, антикоагулянты могут взаимодействовать с другими лекарственными средствами, поэтому необходимо быть осторожным при их назначении.
Основные побочные эффекты антиагрегантов:
- Кровотечения. При использовании антиагрегантов также возможны кровотечения различной степени тяжести.
- Язвенная болезнь желудка и кишечника. Длительное применение антиагрегантов может быть связано с повышенным риском развития язвенной болезни желудка и кишечника.
- Противопоказания и взаимодействия с другими препаратами. Некоторым пациентам противопоказано использование антиагрегантов, например, при активных кровотечениях или аллергии на препараты этого класса. Также необходимо учесть возможные взаимодействия со средствами, усиливающими эффекты кровотечений.
В связи с возможными побочными эффектами применение антикоагулянтов и антиагрегантов должно проходить под строгим медицинским контролем с регулярным мониторингом состояния пациента и уровня тромбоцитов в крови.
Антикоагулянты непрямого действия
Непрямые антикоагулянты – это средства, противоположные по действию витамину К. Они или снижают образование белков (протеинов С и S), задействованных в противосвертывающей системе, или затрудняют формирование в печени проторомбина, VII, IX и X факторов свертывания.
Производные индан-1-3диона представлены Фенилином (Фенидионом)
- Препарат выпускается в таблетках по 0,03 грамма (20 шт. 160 руб).
- Препарат работает через 8-10 часов от приема. Максимума эффект наступает спустя 24-30 часов. Меньше, чем варфарин, накапливается в организме, не дает эффекта суммарной дозы. Меньше влияет на капилляры. Назначается под контролем ПТИ.
- Назначается по таблетке в четыре приема в первые сутки, на вторые по таблетке в три приема, далее по таблетке в сутки (в зависимости от уровня ПТИ). Помимо контроля ПТИ следует проводить анализы мочи на предмет появления эритроцитов.
- Плохо сочетается с сахароснижающими средствами (Бутамидом).
Кумариновые производные
В природе кумарин в виде сахаров содержится во многих растениях (астре, доннике, зубровке) В выделенном виде – это кристаллы, пахнущие свежим сеном. Его производное (дикумарин) был выделен в 1940 году из гниющего донника и впервые использован для лечения тромбозов.
На это открытие фармацевтов натолкнули ветеринары, которые в 20-е годы прошлого столетия обнаружили, что коровы США и Канады, пасшиеся на лугах, заросших клевером-донником, стали погибать от массивных кровотечений. После этого дикумарин некоторое время использовали в качестве крысиного яда, а в дальнейшем стали применять, как противосвертывающий медицинский препарат. Впоследствии из фармацевтики дикумарин был вытеснен неодикумарином и варфарином.
Список препаратов: Варфарин (Варфарекс, Мареван, Варфарин натрия), Неодикумарин (Этилбискумацетат), Аценокумарол (Синкумар).
Антикоагулянты и антиагреганты: в чем разница
Многие из вас слышали словосочетание «препараты, разжижающие кровь», но не все знают, что речь идёт об антикоагулянтах.
Именно эти лекарства особым образом влияют на белки в крови, препятствуют образованию тромбов в организме и спасают человека от тромбоза – полного закрытия просвета артерии или вены.
К большой группе антикоагулянтов относится много препаратов:
Каждый из перечисленных лекарственных средств обладает своими особенностями при назначении, контроле эффективности и безопасности.
В кардиологической практике антикоагулянты назначаются при:
Также антикоагулянты назначаются при протезировании коленного или тазобедренного суставов. ⠀ Применение антикоагулянтов имеет строгие показания, ограничения и противопоказания. Не занимайтесь самолечением!
В продолжении разговора о “препаратах, разжижающих кровь” расскажу про еще одну группу препаратов, которая как раз у всех и ассоциируется с этим словосочетанием – это антиагреганты или антитромбоцитарные вещества. ⠀ Вы хорошо знаете некоторых представителей этой группы:
Кроме вышеуказанных, к антиагрегантам относятся:
Немного физиологии. В нашей крови есть специальные клетки (тромбоциты), которые для остановки кровотечения при травме или порезе слипаются между собой и эритроцитами, образуя “заплатку” на поврежденное место.
Антиагреганты препятствуют склеиванию тромбоцитов между собой и прилипанию клеток крови к внутренней стенке сосуда, тем самым снижая риск тромбообразования у пациентов с высоким риском тромбоза.
Антиагреганты в кардиологической практике назначают при:
Иногда временно могут назначаться комбинации из 2 антиагрегантов или 1 антикоагулянта и 1 антиагреганта, или даже 3 препаратов – 2 антиагрегантов и 1 антикоагулянта. Делается это только по показаниям в интересах пациента с обязательной оценкой риска кровотечения и тромбообразования.
Можно ли заменять одну группу препаратов другой
Всем запомнить — антиагреганты не заменяются на антикоагулянты и наоборот. Например, нельзя заменять апиксабан аспирином — нужного эффекта не будет!
Сочетать антикоагулянты с антиагрегантами можно. В некоторых случаях врач может назначить препараты этих групп
Однако такое лечение проводят с осторожностью, учитывая возможные риски кровотечения. Самостоятельно принимать подобное решение нельзя
Иногда возникает искушение заменить низкомолекулярный гепарин или ПОАК более дешевым варфарином. Это не лучшая идея по ряду причин:
- Эффект варфарина напрямую зависит от дозировки, а она рассчитывается индивидуально.
- Больному на время курса придется придерживаться особой диеты. Например, зелень влияет на эффективность варфарина.
- Придется регулярно сдавать кровь на анализы, обычно 1–2 раза в неделю. За эти исследования придется платить, в итоге переход на варфарин не даст ощутимой экономии денег.
Что касается низкомолекулярных гепаринов (уколов в живот), то продолжительность курса при лечении тромбофлебита обычно составляет 45 дней. Некоторые люди устают от многочисленных уколов и интересуются, можно ли заменить их таблетками (ПОАК)? Ответ зависит от состояния здоровья.
Если низкомолекулярные гепарины назначены для лечения онкологического больного, такая замена допустима. Но только, если решение будет принято лечащим врачом.
Низкомолекулярные гепарины могут быть назначены людям с тромбозами поверхностных вен, а также при высоком или умеренном риске перехода тромбоза на глубокие вены (когда тромб расположен близко к глубоким венам). В этом случае заменить уколы таблетками не рекомендуется.
Прямые оральные антикоагулянты (ПОАК) можно заменить Сулодексидом, если больной относится к группе людей с высоким риском кровотечений. ПОАК сильно разжижают кровь, поэтому врач на протяжение всего курса следит за состоянием здоровья пациента, оценивает степень риска кровотечений. Если он видит, что этот риск становится высоким, может быть назначен Сулодексид. Этот препарат также разжижает кровь, но отличается более низким риском кровотечений.
Менять Сулодексид на аспирин нельзя — нужного результата лечения так не достичь, это препараты разного действия.
Меры предосторожности при приеме препаратов, разжижающих кровь
Если предписан прием антикоагулянтов или антиагрегантов (иногда они могут назначаться в комплексе), то необходимо периодически проходить тест на свертываемость крови. Результаты этого простого анализа помогут врачу определить точную дозу лекарств, которые необходимо принимать каждый день. Пациенты, принимающие антикоагулянты и антиагреганты, должны сообщать стоматологам, фармацевтам и другим медицинским работникам о дозировке и времени приема препаратов.
Необходимо сообщать врачам о том, что принимаются препараты, разжижающие кровь
Из-за риска возникновения сильного кровотечения любой, кто принимает препараты, разжижающие кровь, должен оградить себя от травм. Следует отказаться от занятий спортом и другими потенциально опасными видами деятельности (туризм, катание на мотоцикле, активные игры). О любых падениях, сильных ударах или других травмах необходимо сообщать врачу. Даже незначительная травма может привести к возникновению внутреннего кровотечения, которое может происходить без каких-либо очевидных симптомов
Особое внимание следует обратить на бритье и чистку зубов специальной нитью. Даже такие простые повседневные процедуры могут привести к возникновению затяжного кровотечения
Что такое антикоагулянт
Антикоагулянт – это разбавитель крови, который задерживает свертывание крови. Как правило, антикоагулянты естественным образом встречаются в кровососах, таких как комары и пиявки. Они помогают избежать свертывания крови в области укуса во время приема пищи. С другой стороны, антикоагулянты важны как лекарство для лечения тромботических расстройств. Также различные формы антикоагулянтов можно принимать перорально или внутривенно. В основном, наиболее распространенной формой антикоагулянтного препарата является варфарин. Гепарин в основном вводится внутривенно. Кроме того, антикоагулянты важны для некоторых видов медицинского оборудования, включая пакеты для переливания крови, оборудование для диализа и пробирки.

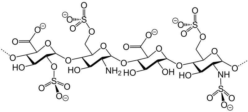
Рисунок 1: структура гепарина
Кроме того, препараты с антикоагулянтами также увеличивают риск кровотечения. Кроме того, это может стать значительным у людей, перенесших недавно хирургическое вмешательство, аневризмы головного мозга и т. Д. Однако они играют важную роль при некоторых заболеваниях, включая мерцательную аритмию, ишемическую болезнь сердца, тромбоз глубоких вен, ишемический инсульт, инфаркт миокарда, эмболию легочной артерии и т. Д. Хотя в сердце есть застой, мерцательная аритмия может вызвать тромбоз и отправить тромб в мозг. Следовательно, это состояние необходимо лечить антикоагулянтами.
Антикоагулянты прямого действия
Гепарин
Наиболее популярным представителем этой группы является гепарин и его производные. Гепарин подавляет склеивание тромбоцитов и ускоряет ток крови в сердце и почках. В тоже время он взаимодействует с макрофагами и белками плазмы, что не исключает возможности тромбообразования. Препарат снижает артериальное давление, оказывает гипохолестеринемическое действие, усиливает проницаемость сосудов, подавляет пролиферацию клеток гладкой мускулатуры, способствует развитию остеопороза, угнетает иммунитет и повышает диурез. Гепарин впервые был выделен из печени, что и определило его название.

Гепарин вводят внутривенно в неотложных случаях и подкожно с профилактической целью. Для местного применения используют мази и гели, содержащие в своем составе гепарин и оказывающие антитромботический и противовоспалительный эффект. Препараты с гепарином наносят тонким слоем на кожу и втирают осторожными движениями. Обычно для лечения тромбофлебита и тромбоза используют гели «Лиотон» и «Гепатромбин», а также «Гепариновую мазь».
Негативное влияние гепарина на процесс тромбообразования и повышенная сосудистая проницаемость становятся причинами высокого риска кровотечений во время гепаринотерапии.
Низкомолекулярные гепарины
Низкомолекулярные гепарины обладают высокой биодоступностью и антитромботической активностью, пролонгированным действием, низким риском развития геморроидальных осложнений. Биологические свойства этих препаратов более стабильны. Благодаря быстрому всасыванию и длительному периоду выведения концентрация препаратов в крови остается стабильной. Лекарства данной группы угнетают факторы свертывания крови, подавляют синтез тромбина, оказывают слабое влияние на проницаемость сосудов, улучшают реологические свойства крови и кровоснабжение органов и тканей, стабилизируя их функции.
- «Фрагмин» – прозрачный или желтоватый раствор, оказывающий слабовыраженное влияние на адгезию тромбоцитов и первичный гемостаз. Его запрещено вводить внутримышечно. «Фрагмин» в высоких дозах назначают больным сразу после операций, особенно тем лицам, у которых имеется высокий риск возникновения кровотечения и развития дисфункции тромбоцитов.
«Кливарин» – «прямой» антикоагулянт, оказывающий влияние на большинство фаз свертывания крови. Препарат нейтрализует ферменты свертывающей системы и используется для лечения и предупреждения тромбоэмболии.
- «Клексан» – лекарственный препарат с антитромботическим и противовоспалительным фармакологическим действием. Перед его назначением необходима отмена всех лекарств, влияющих на гемостаз.
- «Фраксипарин» – раствор с антитромботическим и антикоагуляционным действием. В месте введения препарата часто образуются подкожные гематомы или плотные узелки, самостоятельно исчезающие через несколько дней. Вначале лечения большими дозами возможно развитие кровотечений и тромбоцитопении, исчезающей в процессе дальнейшей терапии.
- «Вессел Дуэ Ф» – натуральное средство, полученное из слизистой оболочки кишечника животных. Лекарство подавляет активность факторов свертывания крови, стимулирует биосинтез простагландинов, снижает уровень фибриногена в крови. «Вессел Дуэ Ф» лизирует уже сформировавшийся тромб и используется для предупреждения тромбообразования в артериях и венах.
При использовании препаратов из группы низкомолекулярных гепаринов требуется строго выполнять рекомендации и инструкции по их применению.
Ингибиторы тромбина
Основным представителем этой группы является «Гирудин». В основе препарата лежит белок, впервые обнаруженный в слюне медицинских пиявок. Это антикоагулянты, действующие непосредственно в крови и являющиеся прямыми ингибиторами тромбина.
«Гируген» и «Гирулог» являются синтетическими аналогами «Гирудина», снижающими уровень смертности среди лиц с патологией сердца. Это новые препараты данной группы, обладающие целым рядом преимуществ по сравнению с производными гепарина. Благодаря их пролонгированному действию в настоящее время фармацевтическая промышленность разрабатывает пероральные формы ингибиторов тромбина. Практическое применение «Гиругена» и «Гирулога» ограничено их высокой стоимостью.
«Лепирудин» – рекомбинантный препарат, необратимо связывающий тромбин и используемый для профилактики тромбоза и тромбоэмболии. Это прямой ингибитор тромбина, блокирующий его тромбогенную активность и действующий на тромбин, находящийся в сгустке. Он уменьшает смертность от острого инфаркта миокарда и необходимость операции на сердце у пациентов со стенокардией напряжения.
Антагонисты витамина К
Антикоагулянты непрямого действия – основа профилактики тромботических осложнений. Их таблетированные формы можно принимать длительное время в амбулаторных условиях. Применение антикоагулянтов непрямого действия доказанно снижает частоту тромбоэмболических осложнений (инфаркта, инсульта) при фибрилляции предсердий и наличии искусственного сердечного клапана.
Фенилин в настоящее время не используется в связи с высоким риском нежелательных эффектов. Синкумар имеет длительный период действия и накапливается в организме, поэтому применяется нечасто из-за трудностей контроля терапии. Самым распространенным препаратом из группы антагонистов витамина К является варфарин.
Варфарин отличается от других антикоагулянтов непрямого действия ранним эффектом (через 10 – 12 часов после приема) и быстрым прекращением нежелательных эффектов при снижении дозы или отмене препарата.
Механизм действия связан с антагонизмом этого препарата и витамина К. Витамин К участвует в синтезе некоторых факторов свертывания крови. Под действием варфарина этот процесс нарушается.
Варфарин назначается для профилактики образования и роста венозных тромбов. Он используется для длительной терапии при фибрилляции предсердий и при наличии внутрисердечного тромба. При этих состояниях значительно повышен риск инфарктов и инсультов, связанных с закупоркой сосудов оторвавшимися частицами тромбов. Применение варфарина помогает предотвратить эти тяжелые осложнения. Этот препарат часто применяется после перенесенного инфаркта миокарда с целью профилактики повторной коронарной катастрофы.
После протезирования клапанов сердца прием варфарина необходим в течение как минимум нескольких лет после операции. Это единственный антикоагулянт, применяющийся для предотвращения образования тромбов на искусственных клапанах сердца. Постоянно принимать это лекарство нужно при некоторых тромбофилиях, в частности, антифосфолипидном синдроме.
Назначается варфарин при дилатационной и гипертрофической кардиомиопатиях. Эти заболевания сопровождаются расширением полостей сердца и/или гипертрофией его стенок, что создает предпосылки для образования внутрисердечных тромбов.
При лечении варфарином необходимо оценивать его эффективность и безопасность путем контроля МНО – международного нормализованного отношения. Этот показатель оценивается через каждые 4 – 8 недель приема. На фоне лечения МНО должно составлять 2,0 – 3,0
Поддержание нормального значения этого показателя очень важно для профилактики кровотечений, с одной стороны, и повышенной свертываемости крови, с другой
Некоторые продукты питания и лекарственные травы усиливают действие варфарина и повышают риск кровотечений. Это клюква, грейпфрут, чеснок, корень имбиря, ананас, куркума и другие. Ослабляют антикоагулянтный эффект лекарства вещества, содержащиеся в листьях кочанной, брюссельской, китайской капусты, свеклы, зелени петрушки, шпината, салата латук. Пациентам, принимающим варфарин, можно не отказываться от этих продуктов, но принимать их регулярно в небольших количествах, чтобы не допустить резких колебаний лекарства в крови.
Побочные эффекты включают кровоточивость, анемию, локальные тромбозы, гематомы. Может нарушаться деятельность нервной системы с развитием утомляемости, головной боли, нарушений вкуса. Иногда возникает тошнота и рвота, боли в животе, поносы, нарушение функции печени. В некоторых случаях поражается кожа, появляется пурпурная окраска пальцев стоп, парестезии, васкулиты, зябкость конечностей. Возможно развитие аллергической реакции в виде кожного зуда, крапивницы, ангионевротического отека.
Варфарин противопоказан при беременности. Он не должен назначаться при любых состояниях, связанных с угрозой кровотечения (травмы, операции, язвенные поражения внутренних органов и кожи). Не применяют его при аневризмах, перикардите, инфекционном эндокардите, тяжелой артериальной гипертензии. Противопоказанием является невозможность адекватного лабораторного контроля из-за недоступности лаборатории или особенностей личности пациента (алкоголизм, неорганизованность, старческие психозы и т. п.).
Антиагреганты
Антиагреганты – препараты, снижающие свертываемость крови за счет предотвращения процесса склеивания тромбоцитов. Как правило, они назначаются параллельно с антикоагулянтами для усиления терапевтического эффекта.
Под воздействием антиагрегантов происходит расширение просвета кровеносных сосудов, устранение боли и купирование воспаления. Самые известные антикоагулянты данной группы описаны ниже.
Аспирин
Аспирин отпускается в форме таблеток для перорального приема, поэтому он подходит для лечения в домашних условиях. Медикамент оказывает вазодилататорное воздействие, препятствует склеиванию тромбоцитов и тромбообразованию.
Тиклопидин
Препарат снижает интенсивность склеивания тромбоцитов, увеличивает продолжительность кровотечения и улучшает капиллярное кровообращение. Оно назначается больным с ИБС, инфарктом миокарда, цереброваскулярными отклонениями. Основной задачей лечения является предотвращение тромбообразования.
Тирофибан
Тирофибан – препарат, применяемый в составе комплексного лечения. Зачастую он назначается параллельно с Гепарином, что помогает увеличить антитромботический эффект обоих ЛС.
Дипиридамол
Под воздействием медикамента происходит расширение просвета коронарных сосудов, разжижение крови, улучшение питания сердечной мышцы. Параллельно нормализуется кровоснабжение в головном мозгу и понижается АД.
Зачем нужно разжижать кровь?
Свертываемость крови является результатом сложной последовательности событий, известных как гемостаз. Именно благодаря этой функции, кровотечение прекращается, и сосуды быстро восстанавливаются. Происходит это благодаря тому, что крошечные фрагменты клеток крови (тромбоциты) слипаются и «запечатывают» рану. Процесс коагуляции включает в себя целых 12 факторов свертывания, которые преобразуют фибриноген в сеть фибриновых нитей. У здорового человека гемостаз активируется только при наличии раны, но иногда в результате заболеваний или неправильного лечения возникает неконтролируемая свертываемость крови.
Так выглядит тромб
Избыточное свертывание приводит к образованию тромбов, которые могут полностью блокировать кровеносные сосуды и останавливать кровоток. Это состояние известно как тромбоз. Если болезнь игнорировать, то части тромба могут отрываться и перемещаться по кровеносным сосудам, что может привести к таким тяжелым состояниям:
- транзиторная ишемическая атака (мини-инсульт);
- инфаркт;
- гангрена периферических артерий;
- инфаркт почек, селезенки, кишечника.
Разжижение крови правильными препаратами поможет предотвратить возникновение тромбов либо разрушить уже имеющиеся.
Вред и польза

Антиагреганты не приносят вред. Из недостатков – опасные побочные эффекты в виде риска кровотечений. Но при подобранной дозировке и использовании, таких последствий удается избежать. Следует учитывать, что польза будет только при правильном применении.
До сегодня ведутся дискуссии по поводу необходимости применения антиагрегантов всем пациентам с сердечной недостаточностью. Это связано с риском развития опасных осложнений, необходимостью постоянно следить за самочувствием человека, контролировать показатели крови.
Материал подготовленспециально для сайта venaprof.ruпод редакцией врача Глушаковой Н.А.Специальность: терапия, кардиология, семейная медицина.
Антикоагулянты прямого действия
Антикоагулянты прямого действия оказывают непосредственное влияние на тромбоциты и их ферменты, снижают процент образования осадков и сгустков. С этой целью используются препараты на основе гепарина, селективные ингибиторы фактора ХА (холинэстеразы) и препараты гирудина. Мы не будем составлять список препаратов антикоагулянтов, а разберём последовательно основных представителей.
Гепарин
Действует непосредственно на тромбин, снижает его активность, а также препятствует переходу фибриногена в фибрин. При использовании больших доз способствует расширению кровеносных сосудов, снижает их проницаемость, улучшает ток крови по обходным сосудам и уменьшает склеивание тромбоцитов. Наиболее оптимальным является применение внутривенных уколов, а также подкожно или внутримышечно.
В связи с большим количеством побочных эффектов инъекции производятся в лечебном учреждении под контролем врача. Широко используются мази и гели для наружного применения. Цена препарата составляет 250-400 рублей.
Низкомолекулярные гепарины
Это антикоагулянты последнего поколения, которые угнетают холинэстеразу (ХА) и ангиотензин-III, обеспечивают высокий терапевтический эффект. Важным положительным моментом является избирательность действия – препараты подавляют активность тромбоцитов, но слабо влияют на свёртываемость крови. Поэтому лекарства имеют минимум побочных эффектов, не вызывают кровотечений и широко используются в клинической практике.
Основные представители данной группы препаратов:
- Дальтепарин (Фрагмин) – выпускается в виде растворов для инъекций, которые вводятся внутривенно или подкожно. Внутримышечные уколы делать категорически запрещено. Слабо влияет на свёртывание крови, но снижает оседание тромбоцитов. При значительных дозировках уменьшает воспаление и активность иммунитета. Средняя стоимость 2500-3000 рублей;
- Эноксапарин (Фленокс, Новопарин, Клексан) – уколы этого препарата делаются подкожно, после чего он практически весь всасывается в кровь. Действие начинается фактически мгновенно и длится несколько часов. Цена лекарства – от 800 до 1200 рублей;

Низкомолекулярные гепарины при тромбозе
- Надропарин (Фраксипарин) – широко применяется при атеросклерозе, поскольку действие препарата направлено не только на уменьшение тромбообразования, но и на борьбу с воспалением и снижением уровня липидов в крови. Чаще всего лекарство вводят подкожно, но и разрешаются внутривенные вливания под контролем лечащего врача. Приобрести раствор можно за 2-2,5 тыс. рублей;
- Бемипарин (Цибор) – классический антикоагулянт, хорошо снижает склеивание белых кровяных телец и образование осадка. Выпускается в растворе для инъекций, наиболее эффективное введение – подкожное.
Гепариноиды
Эти препараты избирательно угнетают ХА без влияния на ангиотензин-III. Лекарства обладают фибринолитическим действием, уменьшают образование осадков в крови, а также снижают концентрацию жиров.
Классические представители данной группы:
- Пентосан Полисульфат – продаётся в таблетках и ампулах по стоимости 2-2,5 тыс. руб. Наибольшая эффективность наблюдается от применения инъекций;
- Вессел Дуэ Ф (Сулодексин) – выпускается в форме раствора для уколов, а также капсул для внутреннего применения. Начальный курс включает постановку инъекций на протяжении 15-20 дней, затем переходят на капсулы, которые принимаются 1-2 месяца. Средняя цена – 2000 рублей.
Антикоагулянты на основе гирудина
Действие активного вещества направлено на уменьшение образования тромбов. Для лечения болезней используются две группы препаратов:
- Ксарелто (Ривароксабан) – продаётся в таблетках, стоимостью 1500 рублей за упаковку. Лекарство избирательно угнетает холинэстеразу;
- Арикстра (Фондапаринукс) – уколы делаются внутривенно или подкожно, внутримышечно делать противопоказано. Препарат дорогой, средняя стоимость – 7000 руб.

Антикоагулянты с гирудином
Береги кровь смолоду: про антикоагулянты и антиагреганты

Не слишком густая, не слишком жидкая – такой кровь делают антикоагулянты и антиагреганты. Оба лекарства “разжижают” кровь, но делают это по-разному.
Наша кровь как река: обычно течет свободно и без препятствий. Но если вдруг течение начнет превращаться в болото или на пути вырастет плотина – поток встанет. Это может произойти из-за болезни, особенно, если появляются проблемы с сердцем. Так бывает при инфарктах, инсультах, операциях на клапанах сердца или крупных сосудах. Кровь загустевает и образуются тромбы, которые могут значительно уменьшить ток крови. А когда вместо реки сочится ручеек, недалеко до сердечно-сосудистой катастрофы.
Избежать такой проблемы помогают специальные лекарства – антикоагулянты и антиагреганты. И те, и другие препятствуют образованию тромбов, но делают это по-разному. Антикоагулянты влияют на так называемые факторы свертываемости – белки, которые отвечают за способность крови сгущаться. Антиагреганты тормозят слипание тромбоцитов – клеток, которые при кровотечении “склеиваются” и закрывают течь.
Типичные антиагреганты – это аспирин и клопидогрел (“Плавикс”). Антикоагулянты – это, например, варфарин, гепарин и ривароксабан (“Ксарелто”). Эти лекарства принимаются под ювелирным контролем врача. Если пить их слишком мало, остается риск тромбообразованияе. Если слишком много – кровотечения. Особенно опасно внутреннее кровотечение, которое может возникнуть, например, при столкновении в командной игре и не будет заметно снаружи.
Для контроля работы антикоагулянтов и антиагрегантов используются специальные анализы. Это может быть определение МНО, международного нормализованного отношения, когда оценивают, как быстро образуется сгусток крови. Целевое МНО для человека, принимающего антикоагулянты, отличается от МНО здорового человека. Другой анализ – тест на АЧТВ (активированное частичное тромбопластиновое время). Он определяет, как работают факторы свертываемости.
Вот несколько правил для тех, кто следит за густотой крови с помощью лекарств.
Предупреждайте своего лечащего врача, если планируете операцию или стоматологическое вмешательство. Обычно перед этим дозу лекарства уменьшают или временно прекращают прием. Сообщайте любым врачам о том, что вы принимаете антикоагулянты или антиагреганты. На их эффективность существенно влияют другие препараты, например, антибиотики и НПВП.
Следите за питанием. Витамины С, Е, и особенно – К могут ослабить действие антикоагулянтов. Есть можно все, но в меру. То же касается пищевых добавок и поливитаминов.
Антиагреганты и антикоагулянты уменьшают риск инсульта, инфаркта миокарда, преэклампсии, тромбофлебита и других серьезных болезней. Хотя польза обычно превышает риск побочных эффектов, все-таки эти лекарства требуют пристального внимания со стороны доктора и не могут приниматься бесконтрольно.
Возможно, прием антикоагулянтов станет менее опасным. Ученые уже работают над веществом, которое тормозит XII фактор свертываемости крови, но исключает риск кровотечений. Препарат успешно протестировали на животных и ему прочат большое будущее.
Таблетки для разжижения крови
В таблетках для разжижения крови выпускаются антиагреганты, самые недорогие из них – на основе ацетилсалициловой кислоты, при болезнях желудка (без аспирина) используют Дипиридамол, Клопидогрел, остальные (Ипатон, Брилинта, Дисгрен, Плетакс) назначаются гораздо реже. От густой крови помогают кроворазжижающие средства из группы антивитаминов К (Фенилин, Синкумар), но чаще всего применяют Варфарин.
Варфарин для разжижения крови
Какие выбрать недорогие
Аспирин в малых дозах (50-100 мг в сутки) является наиболее недорогим вариантом для предупреждения тромбоза. Его рекомендуют для профилактики развития инфаркта (при стенокардии) или снижения риска повторного. Препарат помогает защитить больного от инсульта и закупорки легочной артерии, формирования сгустков в сосудах после операций.
Принимается пожизненно, но неблагоприятно действует на слизистую оболочку желудка
Поэтому важно с самого начала терапии принимать таблетки:
- покрытые кислотоустойчивой оболочкой (Тромбо АСС, Аспикор, Аспирин Кардио, Сановаск) или с магнием (Кардиомагнил, Магникор);
- после приема пищи;
- при повышенной кислотности желудочного сока и необходимости Аспирина его комбинируют с антацидами (например, Фамотидином, Нексиумом).
Примеры стоимости наиболее бюджетных средств для разжижения крови приведены в таблице.
Лекарства без аспирина
Так как почти у 5% принимающих ацетилсалициловую кислоту возникает воспаление слизистой оболочки желудка, а у 3% — формирование язвы, то при угрозе таких осложнений назначают лекарства без аспирина: Дипиридамол, Плавикс. Они, как и Аспирин, относятся к антиагрегантам. Часто назначаемые таблетированные антикоагулянты представлены Варфарином.
Дипиридамол
Применяется обычно в сочетании с Аспирином, реже для самостоятельной терапии. Улучшает сердечное и мозговое кровообращение, предупреждает послеоперационный тромбоз. Недостатки:
- необходимо пить 3 раза в день;
- противопоказан при низком давлении, аритмии;
- ухудшает питание тканей при распространенном атеросклерозе (эффект обкрадывания – усиленный приток по проходимым сосудам обедняет кровоток в пораженных).
Аналоги Дипиридамола – Курантил и Персантин, а комбинация с аспирином – Агренокс.
Клопидогрел
Под воздействием препарата:
- замедляется тромбообразование в сосудах мозга, миокарда и нижних конечностей;
- уменьшается риск тромбоза, тромбоэмболии, инсульта и инфаркта, а также их осложнений при уже возникших закупорках сосудов;
- увеличивается проходимость установленных стентов и шунтов после сосудистых операций.
Часто комбинируется с ацетилсалициловой кислотой. Противопоказан при поражении печени, кровотечении, в том числе и внутримозговом кровоизлиянии. Торговые названия медикамента:
- Плавикс,
- Деплатт,
- Зилт,
- Клопидогрел,
- Тромбонет,
- Атерокард,
- Клопидекс,
- Лирта,
- Лопирел.
Внутримозговое кровоизлияние — показание к приему препарата Клопидогрел
Варфарин
В отличие от Аспирина и других антиагрегантов, Варфарин препятствует действию факторов свертывания крови и считается самым назначаемым антикоагулянтом. Он показан при:
- закупорке кровяным сгустком венозной сети – тромбофлебит, тромбирование вен нижней конечности, легочная тромбоэмболия;
- высоком риске артериального тромбоза – мерцательная аритмия, воспалительное поражение клапанов сердца, протезирование клапанного аппарата или сосудов, операция стентирования или шунтирования на сердце, головном мозге, конечностях;
- перенесенном инсульте (ишемический), инфаркте миокарда;
- облитерирующем атеросклерозе нижних конечностей;
- врожденных нарушениях свертывания – тромбофилия, коагулопатия.
Варфарин назначают при мерцательной аритмии
Не назначается при тяжелых болезнях почек и печени, язвенной болезни, аневризме (выпячивание стенки) артерий, высоком артериальном давлении, которое нельзя снизить до нормы медикаментами. Терапия проходит под постоянным контролем свертывания крови – исследуют показатель МНО. Аналоги Варфарина – Варфарекс, Мареван.





























