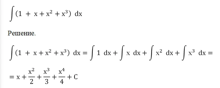
Как работает интеграл
В природе практически не существует ничего прямого и постоянного: процессы изменяют свою скорость, а материальные объекты сплошь и рядом неправильной формы. Это сильно затрудняет вычисление и описание реальности, но математики научились с этим справляться.
Представьте, что у вас есть велосипед со спидометром, который не только показывает вашу скорость, но и записывает её в каждый момент времени, а затем выдаёт график вашего движения.
Вы выехали из точки А в точку Б и два часа двигались со средней скоростью 12 км/ч. Так вам казалось, во всяком случае. То есть график вашего движения, по вашему мнению, выглядел как-то так:

Проделанное расстояние здесь посчитать просто: 120 минут — это 2 часа, 12 × 2 = 24 кмИзображение: Skillbox Media
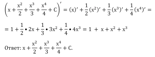
Но в реальности всё было иначе. Сначала вы колесили не спеша, потом разогнались, потом замедлились на подъёме в горку, затем вообще встали на светофоре, после чего снова пришлось разогнаться. То есть реальный график вашего движения был таким:

А ну-ка, посчитайте: сколько километров вы проехали теперь?Изображение: Skillbox Media
Скорость менялась, и в разные периоды времени вы проделывали разный путь. Как же посчитать, сколько вы накрутили в итоге?
Очень просто: нужно поделить всё время на равные промежутки — и посчитать, с какой примерно скоростью вы ехали в каждый из них. Возьмём промежутки по 15 минут, умножим их на примерную среднюю скорость, получим расстояние — и представим всё это в таблице.
| Время, мин | Скорость, км/ч | Расстояние, км |
|---|---|---|
| 0–15 | ~7 | ~1,75 |
| 15–30 | ~13 | ~3,25 |
| 30–45 | ~12 | ~3 |
| 45–60 | ~8 | ~2 |
| 60–75 | ~4 | ~1 |
| 75–90 | ~7 | ~1,75 |
| 90–105 | ~12 | ~3 |
| 105–120 | ~11 | ~2,75 |
Теперь сложим все расстояния и получим приблизительно 18,5 км. Но это всё ещё не точный результат: скорость-то мы оценивали примерно.
Чтобы посчитать точнее, нужно взять как можно большее количество промежутков — по минуте, секунде, наносекунде и так далее. Чем короче будет каждый промежуток, тем ближе к реальности окажется результат.
В идеале наш график можно поделить на число промежутков, стремящееся к бесконечности, а размер каждого из них будет стремиться, соответственно, к нулю. Затем произвести умножение во всех промежутках и сложить результаты — в общем, сделать то же, что и раньше. Только табличка получится безразмерная. Это и есть интеграл нашей функции, который математически, если кто не помнит, записывается так:

Изображение: Skillbox Media
∫ — значок интеграла. Выбран неслучайно: так как интеграл представляет собой сумму, то и обозначается вытянутой буквой S.
f(x) — это функция, которую мы интегрируем. В нашем примере мы задали функцию вручную, а не формулой, но математики работают именно с формулами.
Как посчитать интеграл (то есть найти площадь)
Если бы у нас был прямоугольник, то всё просто: перемножаем высоту на ширину. Если бы была трапеция, тоже ещё как-то что-то можно. Но сверху у нас кривая, поэтому так сделать не получится. Решение придумали такое:
- Разбиваем фигуру слева направо на много маленьких частей.
- В каждой части рисуем маленький прямоугольник и находим его площадь.
- Складываем площади всех прямоугольников и получаем общую площадь фигуры, а значит — значение интеграла.

Минус такого подхода в том, что, как бы мы ни старались, прямоугольники не могут повторить все изгибы, и появится погрешность. С другой стороны, чем тоньше будут эти прямоугольники, тем точнее будет ответ. Получается, что наша задача — нарезать фигуру как можно тоньше.
Теперь задача становится намного проще: мы просто считаем площадь каждого прямоугольника и складываем их вместе. В таком виде задачу уже можно решить простым алгоритмом.

Что такое определенный и неопределенный интегралы?
Начнем с определенного, так как его смысл поддается пониманию легче.
Геометрия изучает площади. Например, если вы хотите поклеить дома обои, вам надо знать площадь стен, чтобы узнать, сколько обоев вы должны купить. Тогда вы просто умножаете длину стены на высоту и получаете ее площадь. В данном случае, эта площадь является интегралом квадратных метров или сантиметров, в зависимости от того, в каких единицах вы ее измеряли. Но поверхности, площадь которых нам требуется вычислить далеко не всегда имеют форму прямоугольника, квадрата, или даже круга. В большинстве случаев — это сложные фигуры с волнистыми сторонами. Наиболее распространенный пример — площадь фигуры под кривой, имеющей уравнение y=1/x . Дело в том, что найти ее площадь при помощи обычных формул, которыми мы находим площадь квадрата, круга или даже сферы — невозможно. Для этой цели был разработан определенный интеграл.
Суть метода в том, что нашу сложную фигуру нужно разбить на очень узкие прямоугольники, настолько узкие, что высота каждых двух соседних практически равна. Ясно, что по сути, можно уменьшать толщину этих прямоугольников бесконечно, поэтому для обозначения их толщины используется размер dx. X — это координата, а приставка d — это обозначение бесконечно уменьшаемой величины. Поэтому, когда мы пишем dx — это значит, что мы берем отрезок по оси x , длина которого очень мала, практически равна нулю.
Итак, мы уже условились, что площадь любой фигуры- это интеграл квадратных метров или любых других фигур с более мелкими площадями. Тогда наша фигура, площадь которой мы ищем, представляет собой интеграл или сумму тех бесконечно тонких прямоугольников, на которые мы ее разбили. А ее площадь- это сумма их площадей. То есть вся наша задача сводится к тому, чтобы найти площадь каждого из этих прямоугольников, а затем их все сложить- это и есть определенный интеграл.
Теперь поговорим о неопределенном интеграле. Только, для того, чтобы понять, что это такое, сначала нужно узнать о производной. Итак, начнем.
Производная — это угол наклона касательной к какому-либо графику в какой-нибудь ее точке. Иными словами — производная — это то, насколько график наклонен в данном его месте. К примеру, прямая линия в любой точке имеет один и тот же наклон, а кривая- разный, но он может повторяться. Для вычисления производной существуют специальные формулы, а процесс ее вычисления называют дифференцированием. Т.е. дифференцирование — это определение угла наклона графика в данной точке.

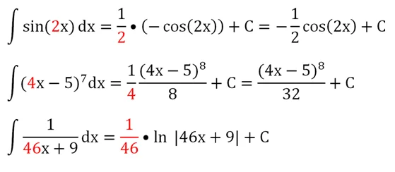
Таблица основных неопределенных интегралов
А для того, чтобы сделать наоборот — узнать формулу графика по углу ее наклона, прибегают к операции интегрирования, или суммирования данных обо всех точках. Интегрирование и дифференцирование- два взаимообратных процесса. Только здесь уже пользуются не тем интегралом, который был в первом пункте ( для определения площади ), а другим — неопределенным, то есть, не имеющим пределов.
Предположим, что нам известно, что производная некоей функции равна 5. 5 — это угол наклона графика к оси х в данной точке. Тогда, проинтегрировав производную, мы узнаем, что функция этой производной, которую еще называют первообразной — у=5х+с , где с- любое число. Для интегрирования, так же как и для дифференцирования есть специальные формулы, которые можно найти в таблицах.
Правила вычисления интегралов
Что делать в том случае, если надо вычислить интеграл, которого нет в таблице? Существует три несложных правила интегрирования, которые могут помочь в такой ситуации.

Докажем это правило. Для этого просто продифференцируем правую часть равенства:

Получили именно то выражение, которое стоит под знаком интеграла в левой части равенства. Это значит, что формула справедлива.
Рассмотрим пример использования этого правила. Пусть надо найти первообразную функции

Здесь мы представили исходный интеграл как сумму двух более простых интегралов, которые являются табличными
Обратите внимание, что мы не стали складывать константы интегрирования С как подобные слагаемые и писать 2С. Дело в том, что С – это некоторое произвольное число
Но если сложить два произвольных числа, то в итоге получится третье произвольное число, которое также будет обозначаться как С! Поэтому обычно константу С просто дописывают в самом конце решаемого примера.
Естественно, что правило сложения интегралов работает и в случае суммы не двух, а большего количества слагаемых.
Задание. Вычислите неопределенный интеграл

Возможна ситуация, когда мы не уверены в правильности полученного решения. В таком случае можно легко проверить себя, просто продифференцировав получившийся интеграл. В итоге мы должны получить исходную функцию (подынтегральное выражение):

Следующее правило позволяет выносить множитель из-под знака интеграла.

Для доказательства тождества снова продифференцируем его левую часть:

Получили как раз то выражение, которое стоит под интегралом справа. Следовательно, формула верна.
Рассмотрим несколько простейших примеров использования этого метода интегрирования неопределенных интегралов:

Естественно, что правила 1 и 2 можно комбинировать друг с другом, решая более сложные примеры.
Задание. Вычислите неопределенный интеграл от квадратичной функции

Первые два правила достаточно просты и напоминают . А вот третий метод вычисления неопределенного интеграла более сложный.

Проиллюстрируем его на примере. Пусть надо найти первообразную для функции

Но в нашем случае под знаком косинуса стоит не х, а выражение 5х + 7, являющееся линейной функцией. Поэтому, согласно правилу, мы должны написать впервообразной не sinx, а sin (5x + 7), то есть изменить аргумент. Также надо добавить перед синусом «поправочный множитель», равный 1/k, то есть в нашем случае 1/5:

Проверим себя. Продифференцируем получившуюся первообразную. При этом мы используем правило дифференцирования сложной функции:

Получили ту самую функцию, которую и надо было проинтегрировать.
Приведем ещё несколько примеров использования правила 3:

Напомним, что при изучении производной мы познакомились также с произведения, дроби и сложной функции. Используя их, мы могли найти производную для почти любой функции, которую только могли записать. С решением неопределенных интегралов ситуация значительно сложнее. С помощью приведенных трех правил не получится вычислить такие интегралы, как
Более того, в записанной нами таблице интегралов отсутствует ряд элементарных функций, поэтому мы не сможем даже проинтегрировать такую простую функцию, как
Дело в том, что задача интегрирования является значительно более сложной, чем задача дифференцирования. Отметим три момента. Во-первых, в нашей школьной таблице интегралов, содержащей всего 11 формул, указаны лишь самые простые элементарные функции. Существуют справочники, где в качестве табличных указаны интегралы десятков, а то и сотен функций. Во-вторых, есть и более сложные правила интегрирования, которые изучаются уже в институте. В-третьих, существуют такие элементарные функции, первообразную которых в принципе невозможно записать, используя элементарные функции (синус, косинус, логарифм и т.п.). В связи с этим приходится вводить в рассмотрение новые специальные функции, а также использовать приближенные методы вычислений.
О “неберущихся” интегралах
специальныминеберущимисяне берётся
Пример 1.8 Неберущимся является интеграл
Здесь одна из первообразных, которую мы обозначили , выделяется из всего набора первообразных условием . Функция называется функцией Лапласа. Она широко применяется в теории вероятностей, физике, математической и прикладной статистике и других разделах науки и её приложений. Для вычисления значений функции Лапласа составлены таблицы, имеющиеся во многих учебниках, задачниках и справочниках по теории вероятностей и статистике. Возможность вычисления предусмотрена также на многих моделях калькуляторов (не самых дешёвых) и уж, обязательно, на тех, что предназначены для статистической обработки числового материала. Так что, с практической точки зрения, пользоваться функцией Лапласа ничуть не сложнее, чем, скажем, синусом, арктангенсом или натуральным логарифмом, которые мы условно относим к элементарным функциям.
Пример 1.9 Не берётся также интеграл
Доопределим подынтегральную функцию , полагая её равной 1 при . В соответствии с тем, что , доопределённая функция будет непрерывна на всей числовой оси. Среди её первообразных выделим ту, для которой . Эта неэлементарная функция называется интегральным синусом и обозначается . Именно её мы использовали в приведённой выше формуле.
Пример 1.10 Ещё один неберущийся интеграл:
Одна из первообразных — та, что мы использовали в правой части и обозначили — называется интегральным косинусом.
Пример 1.11
—
это тоже неберущийся интеграл. Одна из первообразных, которую мы обозначили , — специальная функция, называющаяся интегральной экспонентой.
Пример 1.12 Не берётся интеграл
(при
одна из первообразных, , называется интегральным логарифмом.
Используя специальные функции, заданные предыдущими примерами, мы с помощью изученных выше правил интегрирования можем выражать через эти функции и другие интегралы. Приведём такой пример.
Пример 1.13 Выразим через функцию Лапласа следующий интеграл:
Для этого сделаем замену переменного :
![]() |
Заметим, что та первообразная для , для которой , обозначается . Функция называется в теории вероятностей и статистике функцией ошибок.
Упражнение 1.3 Выразите функцию ошибок через функцию Лапласа и наоборот, функцию Лапласа через функцию ошибок.
Пример 1.14 К интегралу предыдущего примера можно свести и тем самым выразить через функцию Лапласа, например, такой интеграл:
![]() | |
![]() |
Для вычисления мы применили формулу интегрирования по частям.
Пример 1.15 Вычислим интеграл от интегральной экспоненты . Заметим, что по определению первообразной. Применяя формулу интегрирования по частям, получаем:
![]() |
Кроме приведённых выше, в приложениях встречаются и многие другие неберущиеся интегралы, например:

интегралами Френеля
Упражнение 1.4 Сделав соответствующую замену переменного, выразите последние два из интегралов Френеля через функции и , которые стоят в правых частях первых двух интегралов Френеля.
Не берутся также интегралы

Тем не менее, для многих классов интегралов, наиболее часто встречающихся в приложениях, первообразную всё же удаётся выразить через элементарные функции. В следующей главе мы изучим такие классы интегралов.
Упражнение 1.5 С помощью соответствующих замен переменного, докажите следующие соотношения:
(при (при
(на самом деле функции и определяются так, что обе постоянные равны 0).
Математика, вышка, высшая математика, математика онлайн, вышка онлайн, онлайн математика, онлайн решение математики, ход решения, процес решения, решение, задачи, задачи по математике, математические задачи, решение математики онлайн, решение математики online, online решение математики, решение высшей математики, решение высшей математики онлайн, матрицы, решение матриц онлайн, векторная алгебра онлайн, решение векторов онлайн, система линейных уравнений, метод Крамера, метод Гаусса, метод обратной матрицы, уравнения, системы уравнений, производные, пределы, интегралы, функция, неопределенный интеграл, определенный интеграл, решение интегралов, вычисление интегралов, решение производных, интегралы онлайн, производные онлайн, пределы онлайн, предел функции, предел последовательности, высшие производные, производная неявной функции
Неопределенный интеграл
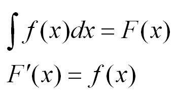
Каждая математическая операция имеет какое-то особое обозначение. Например, чтобы показать, что мы дифференцируем некоторую функцию, мы ставим после неё штрих (и при необходимости берем в скобки):
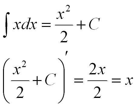
Напомним, что операция нахождения первообразной называется интегрированием. Для ее обозначения используется особый знак – интеграл. Например, мы знаем, что первообразная для у = х2 – это семейство функций вида

Рассмотрим элементы записанного нами равенства:

Исходная функция – это та самая функция, для которой необходимо найти первообразную, то есть интегрируемая функция. Справа от знака «равно» как раз записывается первообразная. Сразу после первообразной надо писать «+ С». Тем самым мы показываем, что у интегрируемой функции есть бесконечное количество первообразных.
После интегрируемой функции стоит так называемый дифференциал dх (читается как «дэ икс»). В данном случае он указывает, что именно буквой х мы обозначаем переменную в интегрируемой функции. Его значение мы разберем несколько позже. Пока что надо запомнить, что после интегрируемой функции необходимо писать «dx». В целом вся запись
читается так: «интеграл от два икс по дэ икс равен икс в квадрате плюс цэ».
В чем разница между первообразной и интегралом? Первообразная – это функция, при дифференцировании которой получается исходная функция. Интеграл же – это не функция, а целое семейство функций (или их множество), которое включает в себя сразу все первообразные интегрируемой функции.
Так как интегрирование – это действие, обратное дифференцированию, то мы можем проверить результат своих вычислений. Пусть мы записали, что

Получили подынтегральное выражение. Значит, мы всё сделали правильно.
Здесь важно заметить, что в математике существует сразу несколько видов интегралов, каждый из которых имеет разное определение. Здесь описан так называемый «неопределенный интеграл»
Несложно догадаться, что существует ещё и «определенный интеграл», который мы рассмотрим на следующих уроках. Теперь можно дать следующее определение:

Задание. Найдите неопределенный интеграл
Решение. Вспомним таблицу производных элементарных функций. Производная синуса равна косинусу:

Заметим, что непосредственно из определения следует важное свойство неопределенного интеграла – производная интеграла равна его подынтегральному выражению:

Грубо говоря, операции интегрирования дифференцирования «сокращают» друг друга.
Задание. Вычислите производную:

Примеры применения определенного и неопределенного интегралов
Определенный интеграл используется для вычисления площади фигур, расчета работы, нахождения среднего значения функции и других прикладных задач. Вот несколько примеров:
- Нахождение площади фигуры под графиком функции:
Допустим, у нас есть функция f(x) = x^2 на отрезке . Мы можем использовать определенный интеграл, чтобы найти площадь фигуры, ограниченной графиком этой функции и осью OX на указанном отрезке. Формула для этого расчета будет следующей:
S = ∫ x^2 dx
После вычисления интеграла S получим значение площади фигуры.
Расчет работы при постоянной силе:
Представим, что объект движется вдоль оси OX под действием постоянной силы F. Чтобы найти работу, совершенную силой при перемещении объекта на заданное расстояние, мы можем использовать определенный интеграл формулу:
W = ∫ F dx
где F — сила, а a и b — начальная и конечная точки перемещения.
Вычисление среднего значения функции:
Допустим, у нас есть функция f(x) на отрезке . Чтобы найти среднее значение этой функции на указанном отрезке, мы можем использовать формулу определенного интеграла:
f_avg = 1/(b-a) * ∫ f(x) dx
где f_avg — среднее значение функции.
Неопределенный интеграл выступает в роли обратной операции к дифференцированию. Применяется для нахождения первообразной функции. Примеры использования неопределенного интеграла:
- Нахождение первообразной функции:
Доопределим интеграл на отрезке , где x — переменная. Тогда если f(x) — функция, то для нее можно найти первообразную F(x) такую, что F'(x) = f(x). Формула неопределенного интеграла будет выглядеть следующим образом:
∫ f(x) dx = F(x) + C
где C — произвольная постоянная.
Найти определенный интеграл, используя первообразную:
Если у нас уже есть первообразная функция F(x) для функции f(x), то мы можем использовать неопределенный интеграл для нахождения определенного интеграла на отрезке . Формула будет следующей:
∫ f(x) dx = F(b) — F(a)
где F(b) и F(a) — значения первообразной на концах отрезка .
Таким образом, определенный и неопределенный интегралы имеют разные применения, и их использование зависит от конкретной задачи, которую необходимо решить.
Изучаем понятие «интеграл»
Интегрирование было известно еще в Древнем Египте. Конечно, не в современном виде, но все же. С тех пор математики написали очень много книг по этой теме. Особенно отличились Ньютон и Лейбниц, но суть вещей не изменилась.
Как понять интегралы с нуля? Никак! Для понимания этой темы все равно понадобятся базовые знания основ математического анализа. Сведения о пределах и производных, необходимые и для понимания интегралов, уже есть у нас в блоге.
Неопределенный интеграл
Пусть у нас есть какая-то функция f(x).

Другими словами интеграл – это производная наоборот или первообразная. Кстати, о том, как вычислять производные, читайте в нашей статье.

Первообразная существует для всех непрерывных функций. Также к первообразной часто прибавляют знак константы, так как производные функций, различающихся на константу, совпадают. Процесс нахождения интеграла называется интегрированием.
Простой пример:

Чтобы постоянно не высчитывать первообразные элементарных функций, их удобно свести в таблицу и пользоваться уже готовыми значениями.
Определенный интеграл
Имея дело с понятием интеграла, мы имеем дело с бесконечно малыми величинами. Интеграл поможет вычислить площадь фигуры, массу неоднородного тела, пройденный при неравномерном движении путь и многое другое. Следует помнить, что интеграл – это сумма бесконечно большого количества бесконечно малых слагаемых.
В качестве примера представим себе график какой-нибудь функции.

Как найти площадь фигуры, ограниченной графиком функции? С помощью интеграла! Разобьем криволинейную трапецию, ограниченную осями координат и графиком функции, на бесконечно малые отрезки. Таким образом фигура окажется разделена на тонкие столбики. Сумма площадей столбиков и будет составлять площадь трапеции. Но помните, что такое вычисление даст примерный результат. Однако чем меньше и уже будут отрезки, тем точнее будет вычисление. Если мы уменьшим их до такой степени, что длина будет стремиться к нулю, то сумма площадей отрезков будет стремиться к площади фигуры. Это и есть определенный интеграл, который записывается так:
Точки а и b называются пределами интегрирования.
Бари Алибасов и группа
Интеграл
Кстати! Для наших читателей сейчас действует скидка 10% на любой вид работы
Первообразная. Неопределённый и определённый интегралы
Первообразная
Определение. Непрерывная функция F(x) называется первообразной функции f(x), если на промежутке X, если для каждого .
Операция нахождения первообразной функции f(x), называется интегрированием.
Неопределенный интеграл
Неопределённый интеграл-это совокупность всех первообразных функции f(x). В общем случае, нахождение неопределённого интеграла выглядит следующим образом:
,
где f(x)-подынтегральная функция, F(x)-первообразная функция функции f(x), dx-дифференциал, C-константа интегрирования. Неопределённый интеграл представляет собой, как бы, «пучок» первообразных, из-за наличия постоянной интегрирования.
Дифференциал-произвольное, бесконечно малое приращение переменной величины.
Свойства неопределённого интеграла
Таблица основных неопределённых интегралов
В виде
,
где f(x)-подынтегральная функция, F(x)-первообразная функция функции f(x), dx-дифференциал, C-константа интегрирования.

Определённый интеграл
Определенный интеграл— Приращение одной из первообразных функции f(x) на отрезке .
Общий вид определённого интеграла:
где f(x)–подынтегральная функция, a и b-пределы интегрирования, dx-дифференциал
Свойства определённого интеграла: см. св-ва определённого интеграла.
Определённый интеграл вычисляется по формуле Ньютона –Лейбница:
Применение определённого интеграла:
1. Нахождение площади криволинейной трапеции

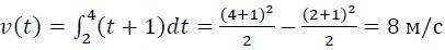
2. Нахождение величины скорости v по заданному закону ускорения a(t) за промежуток времени , т.е
Пример: Точка движется по закону ускорения a(t)=t+1. Найти величину ее скорости за промежуток времени секунд.
Решение:
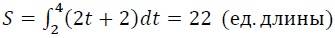
3. Нахождение пути S по закону изменения скорости v(t) за промежуток времени , т.е.
Пример: Найти путь, который проделала материальная точка за промежуток времени , двигаясь со скоростью, которая изменялась по закону: v(t)=2t+2.
Решение: 
Стоит отметить, что, на сегодняшний день, интегральное и дифференциальное исчисление занимают лидирующие позиции в математике. Советую вам ознакомиться, более подробно, с широким применением интегралов в естествознании.


































